第5回 周期と減衰が揺れを司る
周期と減衰が揺れを司る
地震動を受けると建物は揺れ、揺れの強さ(加速度)に当該部分の質量を乗じた力が、慣性力として建物に作用します。
その結果、各部材に応力や歪みが生じ、この応力が各部材の耐力を超えれば部材が損傷します。
万一、多数の部材が損傷してメカニズムを構成すると終局状態を迎えることになります。
地震時に建物に作用する力(地震力)を算定するには、建物の揺れ(地震応答)を予測することが基本となります。
一般建物の設計では、耐震基準で規定される地震荷重を所与のものと考えて、耐震安全性の検証をしています。
このため、多くの構造設計者は、建物の揺れを余り意識せずに日々の設計業務をしていると思います。
ですが、建物応答は、地震動の特性や建物の周期特性・減衰能によって、大きく変動します。
例えば、10階建ての建物は大体1秒の固有周期で揺れやすい特性を持っています。
この建物に周期3秒や0.3秒の地震動が作用しても、建物の揺れはあまり大きくなりませんが、周期1秒の地震動が作用したら、建物の揺れは、地面の揺れに比べて格段に大きくなります。
このため、過去の地震災害でも、ある地域の被害を調べてみると特定の階数の建物の被害が顕著になっているようなことが良くあります。
また、最近になって、人為的に建物の周期特性や減衰特性を制御した免震建物や制震建物が増加しています。
このため、地震動や建物の振動特性を理解することの重要度が益々増しています。
|
|
積層ゴム支承
:一般的な免震装置
|
直動転がり支承
:免震周期の更なる長周期化や、引抜き力対応に使われる
|
そこで今回は、単純な1質点自由度系の振動システムを取り上げて、地震時の建物の揺れについて考えてみます。
大学・大学院時代に振動論をみっちり勉強した方々は読み飛ばしていただいても結構です。
振動論の初歩を復習してみる
建物を最も単純な振動モデルに置換したものが1質点1自由度モデルです。
建物の重さを代表させた質点を、建物の復元力と減衰力を代表させたバネとダッシュポットで支えたものです。
振り子を逆さまにしたようなモデル図を書くことが多いので倒立振り子とも呼ばれています。
また、減衰モデルは未だ不明な点の多いため、便宜的に、相対速度に比例する粘性減衰が用いられることが多いようです。
平屋建ての建物であれば、階高の上半分の重さを質量として、耐震部材の層剛性をバネ定数として考えれば良いです。
軟弱地盤の上に建つ剛な建物や、免震建物などでは、建物全体質量を質点として、地盤バネや免震装置の剛性をバネとしてモデル化すればよいと思います。
一般の建物の場合にも、例えば1次モードだけを抽出した場合には、単位の質量を1次固有円振動数の自乗のバネ定数を持ったばねで支えた1自由度系に置換することができます。
以下、柴田明徳先生の最新耐震構造解析の諸定数の定義を参考にしつつ、振動論の初歩を復習してみます。
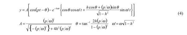
質量mの質点が、バネ定数kのバネと粘性減衰係数cのダッシュポットで支えられ、地動変位としてy0(t)が作用する問題を考えましょう。
地動に対する質点の相対変位をy(t)
とすると、この問題の運動方程式は、
と書くことができます。上式は、下式で定義する固有円振動数ω、減衰定数h、
を用いることにより、
と記述することができます。
継続時間の長い地震動に対する低減衰長周期建物の共振応答
地動変位として円振動数pの単位調和地動y0 = cos ptを考え、時刻0の初期変位と初期速度が0の静止状態であったとすると、上式の解は、
となります。
ここに、Aは地動変位に対する応答変位の増幅効果を、θは地動変位と応答変位の位相差を表し、ω' は減衰を考慮した減衰固有円振動数を示しています。
Aの値を見ると、p=0のときは0、p=∞のときには1となっており、θは、p=0のときは0、p=∞のときには1となります。
すなわち、長周期の入力に対しては、質点は地盤と一緒に剛体的に運動し、短周期の入力に対しては、質点は空間的に静止することを意味しています。
(4)式の第1項は定常振動解を、第2項は自由振動解を示しています。
地震波が作用し始めた直後は自由振動項が支配的となりますが、時間とともに自由振動項は減衰し、定常振動項のみが残ります。
固有振動数や減衰定数が大きければ(hω>>0)、自由振動項は短時間で減衰して定常振動に速やかに収束しますが、減衰定数が小さい長周期構造物(hω<<1)では自由振動成分がなかなか減衰しないので、定常振動となるのに長時間がかかります。
hが微小でp=ωとなる共振時には、(4)式は、
となります。
この式から、無限時間経過後の定常応答変位振幅は地動変位の1/2h倍となり、減衰が小さいほど揺れが増幅されやすく、その振幅に達するのに時間がかかることが分かります。
ちなみに、定常状態の振幅1/2hのβ倍になるために必要な波の数は、
と表すことができます。
例えば、1/2hの9割に振幅が育つのに要する波の数は0.3665/hで与えられます。
したがって、減衰定数が1%だと45倍の応答になるのに37波、5%だと18倍の応答になるのに7波、20%だと2.25倍の応答になるのに2波が必要となります。
250m級の超高層建物を想定して、周期5秒、減衰定数1%だとすると、共振が育つのに3分も必要となります。
これに対して、周期5秒で等価減衰が20%を想定した免震建物ではたった10秒で共振状態に至ることが分かります。
このことから、低減衰長周期建物の設計用入力地震動の策定に当たっては、建物の固有周期近傍での地盤震動の卓越周期のチェックと、地震動継続時間の十分な吟味が大事なことが分かります。
即ち、震源のアスペリティサイズやディレクティビティ効果で定まる地震波の卓越周期や、建物が立地する堆積平野固有の卓越周期、震源の破壊継続時間や波動の分散による地震動の継続時間の伸長効果、堆積平野の盆地構造が波動をトラップすることによる継続時間の伸長効果、などを的確に把握することが重要となります。
パルス的な地震動に対する応答
兵庫県南部地震の震源域の揺れのように、震源断層直近の揺れはパルス的になります。
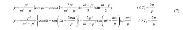
そこで簡単な例として、減衰の無い1自由度系のシステムに、単位三角関数波cosptが1周期分(継続時間T0=2π/p)だけ入力した場合の問題を考えます。
この答えは(4)式を用いることにより、下式のように求めることができます。
建物の固有周期と入力の周期が一致した状態(p=ω)では、(7)式は、
となります。
これから、最大変位応答はパルス入力終了後に生じ入力振幅の3.14倍となることが分かります。
これに対して、高振動数の入力が作用する場合(p>>ω)には、
となり、最大変位応答は入力の継続時間中に発生し、入力変位の2倍となります。
上式第1式に入力変位cosptを加算すると時間によらず1となることから分かるように、質点は空間的に静止しています。
すなわち、長周期構造物にとっては周期の短いパルスの影響は大きくはないことが分かります。
一方、低振動数の入力が採用する場合(p<<ω)の応答は、
となり、入力の2p²/ω²を下回る微小な値となります。
すなわち、長周期の入力に対しては、質点は地動と一緒に剛体的に動くことを示しています。
パルス入力に対する最大変位応答振幅は、p>0.54ωの範囲においては、おおむね、
と示すことができます。
この最大振幅が極大値になるのは、p≒1.2ωの時で、入力の3.27倍程度の応答となります。
ちなみに、p≒0.8ωの時には2.5倍、p≒1.5ωの時に3.1倍、p≒2ωの時に2.6倍、p≒3ωの時で2倍程度の応答となり、幅広い周期のパルスに対して同程度の応答を示します。
すなわち、パルス地震動の場合には、建物の固有周期を中心とした比較的幅広い周期のパルスに対して入力振幅の2~3倍程度の応答を示します。
参考のために、固有周期と入力の周期が一致した場合について、減衰を考慮した結果を以下に示します。

|
粘性ダンパー
:大きな減衰力を付与し、免震層の変位を制御
|
この結果を吟味すると、減衰定数が概ね10%以下の場合にはパルス入力終了後に最大値が発生し、10%以上の場合には入力作用時間内に最大値が発生することが分かります。
最大応答振幅は、非減衰の時には入力振幅の3.14倍でしたが、減衰定数が1%の時は入力振幅の約3倍、5%の時は約2.5倍、10%の時は約2倍、20%の時は約1.5倍となります。
長継続時間の入力の場合には、共振振幅は1/2h倍となり、1%、5%、10%、20%の減衰定数に対する応答倍率は50倍、10倍、5倍、2.5倍と与えられ、減衰による応答低減効果がとても大きかったのとは対照的です。
パルス的入力の場合には、減衰付加による応答低減効果が小さいことは大事なことです。
最近増えている制震建物や免震建物の減衰付加効果は、長継続時間の地震動には効果的ですが、パルス的な地震動に対しては応答低減効果が少ないことになります。
免震構造物の設計において、JMA神戸の位相を用いた告示波の応答が厳しくなっている理由も同じことです。
近年、キラーパルスという言葉をよく耳にしますが、パルス応答の問題は、長継続時間に対して生じる共振現象とは大きく性格が異なることに注意が必要となります。
以上に述べてきましたように、南海トラフでの巨大地震のときのような継続時間が長い地震動と、兵庫県南部地震のときの震源域の揺れのような継続時間の短い地震動とでは、長周期構造物の応答特性は大きく異なります。
したがって、これらの建物の耐震設計にあたっては、深部地盤構造の周期特性を考慮した継続時間の長い地震動と、断層近傍のパルス的地震動の2つの地震動を想定することが望まれます。
建物の変位応答
中高層建物の耐震設計を行う場合、層間変形角を設計クライテリアにする場合が多く見られます。
この場合、単純に考えると、建物の応答速度は一定値となり、応答加速度は建物階数に反比例し、応答変位は階数と共に線形的に増加することになります。
このことについて少し説明を加えておきます。
簡単のために、建物の応答モード形を逆三角形モード、層間変形角をΔとします。
建物の1次固有周期が建物高さに比例する(T=αH、Hは建物高さ(m))と考え、1次モード形の振動が卓越したとすると、建物頂部の応答変位、速度、加速度は、

と書けます。
一例として、α=0.02、Δ=1/100とすると、速度応答は建物高さに関わらず300cm/s程度となります。
変位応答と加速度応答は建物高さに依存して、200m級の建物では変位振幅は200cm、加速度振幅は450Gal程度となり、25m級の建物ではそれぞれ20cm、4500Galとなります。
実際には、中低層の建物で1/100もの変形角を設計で想定することは少ないと思いますが、このような関係は、速度一定則を満足する周期帯域内で、減衰定数が同一の建物の地震応答を考えても導くことが可能です。
一方、免震建物の場合には、敷地制約上、免震層の応答変位を設計クライテリアにする場合が多いと思います。
この場合には、免震周期を長周期化するほど、応答速度、加速度が低減されることになります。
設計者にあまり認識されていないのは、長周期建物の変位応答の大きさです。
設計者は十分にこの揺れをイメージし、過大な応答変位に対する室内対策の必要性を建築主に勧める必要があります。
一度、高層建物の上層階で外の風景を見ながら、周期5秒で、往復5mを10回程度走ってみると良いと思います。
そのときの様子をイメージでき、応答速度を減じるための減衰付加の大事さを実感することができます。
最近では、兵庫県三木市にあるE-Defenseを用いて、高層建物や免震建物の実験が多数行われ、その映像資料が広く公表されています(http://www.bosai.go.jp/hyogo/movie.html)。
また、筆者の研究室でもBiCURIと呼ぶ揺れの体験装置を開発しています(http://www.sharaku.nuac.nagoya-u.ac.jp/BiCURI/aboutBiCURI.html)。
こういった映像を建物依頼主に見てもらうことで、減衰材の付加や免震層の変形能の確保など、適切な耐震余裕度を確保したり、室内安全対策を促進していけるとよいと思っています。
さて、次回は最終回です。
「伝え率先し耐震化を促す」と題して、大地震による甚大な被害を少しでも軽減するために、建築構造技術者として、社会に対して果たすべき役割について考えてみたいと思います。